提高关税能够保护美国本土产业?诺奖得主给出了否定答案
10月13日,瑞典皇家科学院将2025年诺贝尔经济学授予乔尔·莫基尔、菲利普·阿吉翁和彼得·豪伊特三位经济学家,以表彰他们对创新驱动经济增长理论的阐释徐家汇股票。
获奖者之一、法国经济学家阿吉翁于1956年出生在巴黎,现任法兰西学院院士、欧洲工商管理学院教授,并兼任伦敦政治经济学院客座教授徐家汇股票。阿吉翁的核心研究领域集中在经济增长与创新的关系。
近年来,他一直对特朗普的关税政策持批评态度徐家汇股票。在获得诺奖之后,他再次对媒体表示,他不欢迎美国的保护主义浪潮,这对世界经济的增长和创新不利。

2019年,阿吉翁与赛利娜·安托南和西蒙·比内尔共同开始撰写《创造性破坏的力量:经济剧变与国民财富》一书徐家汇股票。该书的法文版于2020年出版,中文版则在2021年面世。全书以熊彼特的增长范式为理论基础,探讨了当代经济中的一系列核心议题,包括可持续的长期增长、中等收入陷阱、不平等问题、竞争和全球化、绿色发展,以及个人的健康和幸福等问题。
在本书的第13章“应对全球化”中,阿吉翁重点分析了美国发动贸易战对企业创新的影响徐家汇股票。他认为,抬高关税不仅不是应对中国冲击的正确方式,反而可能在多个层面上削弱美国企业的创新能力。应对贸易竞争的正确方式是鼓励本国企业的创新。
以下是阿吉翁等人在书中给出的阐释:
关税削弱高技术企业创新力
提高关税对本国企业带来的最直接的影响之一是竞争减少,而竞争与企业的创新能力之间有密切的关系徐家汇股票。
阿吉翁的观点认为,竞争对企业创新能力的影响取决于该企业的相对技术水平徐家汇股票。处在产业技术前沿的企业与远离前沿、效率不佳的企业在面对竞争时反应截然不同。他用一个班级里的好学生和坏学生来比喻竞争对这两类企业的影响:当一个优秀的新同学进入班级后,原本成绩优秀的好学生会加倍努力,以保持领先地位,而成绩不佳的学生则可能因为感到更加无力追赶,而受到打击。
一项基于英国企业数据的实证研究证实了这种比喻,随着竞争程度的加剧,靠近技术前沿的企业创新增加,而远离前沿的企业创新减少徐家汇股票。

竞争程度与创新密度、离技术前沿远近的关系
展开全文
所以,一个国家内部靠近技术前沿的企业比例越高,竞争所带来的创新促进效应就越显著徐家汇股票。也就是说,越是技术先进的发达经济体就越应该通过鼓励竞争来推动创新和增长。
提高关税、设置贸易壁垒虽然可能在一定程度上为生产效率相对低下的传统企业提供保护,却会削弱市场竞争,从而无法充分激发高技术企业的创新能力徐家汇股票。
因此,阿吉翁认为,“应对中国进口冲击的正确方式不是抬高关税,以削弱来自中国的竞争,而是鼓励创新投资,同时把资源和就业从生产率较低的企业转移到较高的企业徐家汇股票。”
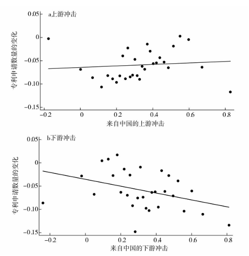
关税削弱下游企业创新力
保护本国产业常常被用作支持提高进口关税的理由徐家汇股票。然而进口产品对于本国产业的影响,可能会因进口产品所处的产业链位置而不同。
书中以法国的汽车产业举例,在进口冲击影响到整车市场时,汽车企业潜在的创新租金被压缩,创新激励减少,从而可能削弱企业在创新上的投入意愿徐家汇股票。相反,如果进口冲击影响的是汽车配件市场,使该市场的竞争加剧,则汽车制造商的生产成本可能会下降。于是创新租金可能增加,对企业的创新产生推动作用。
阿吉翁等人通过实证数据分析了来自中国的进口冲击对法国企业创新能力的影响徐家汇股票。结果发现,上游冲击对创新有一定的正面效应,而下游冲击对创新具有强烈的负面效应。

上游冲击和下游冲击对创新的不同效应
这一结果也再次表明,无差别的关税政策并非保护本国产业的最好办法徐家汇股票。相反,如果一个国家面对的进口冲击主要是上游冲击,无差别的关税很可能对本国企业的创新能力产生负面作用。
关税引发报复徐家汇股票,出口受限削弱企业创新力
提高关税对创新的另一项潜在伤害,在于它往往引发报复性措施,这反过来压缩了本国企业的出口市场徐家汇股票。而出口与企业创新之间存在明显的正相关关系。
阿吉翁的增长理论认为,打开出口渠道能在两个方面对创新产生正面影响徐家汇股票。
首先,进入海外市场能显著扩大企业的市场规模,从而提高创新的潜在收益,强化创新激励徐家汇股票。更广阔的市场为企业提供了摊薄研发成本和回收创新投入的空间,使得创新成为更具经济吸引力的选择。
其次,出口型企业必须在国际市场上与来自全球的竞争对手交锋,这意味着更激烈的竞争徐家汇股票。根据阿吉翁对竞争和创新关系的解释,竞争会促进技术前沿企业的创新。因此,打开出口市场可以促进创新,尤其是对于处在技术前沿的企业。
总之,扩大出口对创新具有明显的激发作用徐家汇股票。提高关税间接带来的出口市场受限,很可能最终削弱本国企业的创新能力。
应对贸易冲击的正确方式:鼓励本国创新
在分析了为什么提高关税可能不利于本国企业的创新之后,阿吉翁在书中比较了提高关税和鼓励本国企业创新两种不同的应对贸易竞争的方式徐家汇股票。
为此,阿吉翁引用了梅里兹和阿克西吉特等人的研究来说明不同方式对创新和增长的影响徐家汇股票。
梅里兹认为,出口需要一定的固定成本,因此只有超出某个固定生产率门槛的企业才有能力出口徐家汇股票。在这一观点的基础上,阿克西吉特等人在研究中构建了如下图所示的进口能力和出口能力同企业生产率关系示意图。

进口能力和出口能力同企业生产率的关系
阿吉翁在书中用一个例子说明了该示意图的含义徐家汇股票。有家法国的汽车发动机制造商M,希望把产品卖给本国及其他国家的整车企业。M与外国的发动机制造商存在竞争,如果它的生产率较低(处于I点左侧),则产品性价比较低,各家整车企业都会倾向于选择外国制造商的产品。当M的生产率提高,越过“进口门槛值I”,则法国的整车企业愿意从M手中采购,而不再选择外国制造商。而当M的生产率进一步提高,向右移动到“出口门槛值E”时,它的产品不仅能卖给法国整车企业,还可以出口给外国客户。
创新密度指创新活动的强度或集中程度,常用于衡量一个企业的创新能力徐家汇股票。从上述示意图可以推出,一家企业的生产率与其创新密度的关系如下:从最左侧开始,随着企业的生产率越来越趋近于进口门槛值,它的创新密度会越来越高。因为企业的生产率接近进口门槛值,意味着这家企业在本国市场上面临外国企业的激烈竞争,为了守住本国市场,企业会积极进行创新,因此这种创新也被称为“防御性创新”。
而一旦企业的生产率超过进口门槛值,它的创新密度会逐渐降低,因为该企业在本国市场上已经不再有外国竞争者,然而,当企业的生产率趋近于出口门槛值时,企业的创新密度会再度提升,因为它在外国市场同外国企业的竞争日趋激烈,学者称这种创新为“扩张性创新”徐家汇股票。
按照这一模型,企业的创新密度随着生产率水平的不同,会形成一条带有两个峰值的曲线徐家汇股票。

创新密度与生产率水平的关系
那么徐家汇股票,采用不同方式应对贸易竞争,对这条曲线会有怎样的不同影响?
理论上来说,提高关税会让外国企业更难在本国市场上竞争,从而使进口门槛值向左移动徐家汇股票。于是本国企业赢得国内市场的门槛降低,从而削弱了防御性创新,在总体上降低了本国企业的创新能力。

实施保护主义关税造成的曲线变化
然而,如果采用给本国企业发放研发补贴的方式,会使所有企业都有更强的创新激励,让整个曲线向上移动,推动该国创新能力的整体提升徐家汇股票。

研发补贴造成的曲线变化
因此,阿吉翁认为“相比大幅度提高进口关税,采用对知识经济和基础设施的公共投资以及产业政策等工具,更能带来生产率的提高和经济的长期繁荣徐家汇股票。“
总结
在阿吉翁看来,无差别的贸易保护政策绝非应对进口冲击正确方式徐家汇股票。提高关税,或许能在一定程度上保护本国的传统产业,但从长远看,这种做法存在削弱企业创新动力的风险,最终可能损害自身的增长潜力。
面对全球贸易的冲击,真正有效的应对之道不是筑起贸易壁垒,而是通过政策鼓励本国企业的创新发展,在提高本国产业竞争力的同时,推动资源和就业向生产效率更高的企业转移徐家汇股票。
撰文 | 李俊浩
编辑 | 钱琪瑶
*本文为BOOK方物独家原创内容
未经BOOK方物授权不得转载徐家汇股票,欢迎分享转发









评论